Y型過濾器是輸送介質管道上不可缺少的一種裝置,通常安裝在減壓閥、泄壓閥、定水位閥或其它設備的進口端,用來消除介質中的雜質,以保護閥門及設備的正常使用。在Y型過濾器選型時通常會涉及到過濾器阻力損失計算,那么Y型過濾器阻力損失是如何計算的呢?
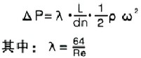
對于Y型等管件類過濾器,可按下列公式進行計算:

Y型過濾器公稱通徑與當量直管段長度關系
公稱直徑DN(mm) | 50 | 80 | 100 | 150 | 200 |
當量直管段長度L(×103mm) | 25~30 | 18~23 | 15~20 | 22~38 | 32~40 |
公稱直徑DN(mm) | 250 | 300 | 350 | 400 | 450 |
當量直管段長度L(×103mm) | 27~43 | 58~65 | 48~85 | 60~95 | 62~98 |
ΔP - 阻力損失,Pa
λ - 摩擦系數,無因次
Re - 雷諾數,Re=(ω·dn)/u,無因次
ω - 流體速度,m/s
ρ - 流體密度,kg/m3
μ - 動力粘度,kg/m·s
u - 運動粘度u=μ/ρ,m2/s
L - 當量直管段長度,mm,類管件過濾器查閱下表“類管件過濾器公稱直徑與當量直管段長度關系”
D - 類管件過濾器內徑,mm
dn - 當量直徑,mm,類管件過濾器取管件內徑,筒殼式過濾器取4s/c
S - 液體流通面積,m2
C - 液體濕周(濕潤周長)
C=2X(筒體內徑+筒體高度),m
ξ - 入口阻力系數,取1.1
ξ - 出口阻力系數,取0.5
地 址:上海市金山區興塔工業區
咨詢電話:021-5736 2601
手機號碼:138 1635 7694
電子郵箱:hanyuev@163.com
網 址:http://www.3ebezih.cn